Public Notices
Notice of Tentative Tax Levy Presentation
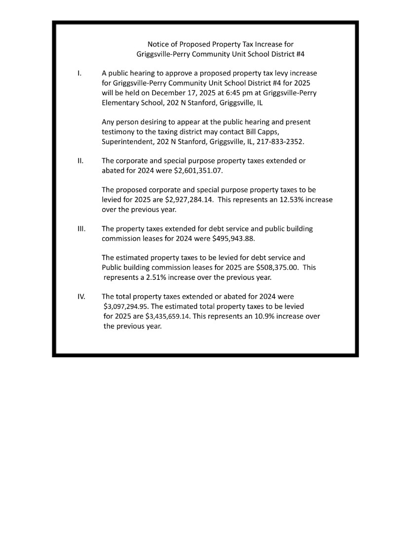
The Griggsville-Perry Board of Education will hear a tentative tax levy presentation at the regular board meeting on November 19th as an informational item. Final adoption will be at the December 17th board meeting.
Notice of Special Board Meeting
The Griggsville-Perry Board of Education will hold a special board meeting on Monday October 27th starting at 5 PM at the Griggsville building.


